運動論に基づく理想気体の熱対流とブシネスク近似に関する研究[連続体極限]
正方形ダクト内の希薄気体の外力駆動流れの研究[希薄気体効果,連続体極限]
フタの運動で生じるキャビティ内の気体流の研究[希薄気体効果]
Van der Waals流体の相変化現象の運動論的モデリングI[実在気体効果,相変化,モデリング]
Van der Waals流体の相変化現象の運動論的モデリングII:空間2次元シミュレーション[実在気体効果,相変化,モデリング]
2/3未満のPrandtl数の場合のESモデル運動論方程式のエントロピー特性の研究[モデリング]
多孔質体内の気体輸送の運動論的モデリングの研究[多孔質体,モデリング]
希薄気体中の巨視量場の振る舞いに関する研究[希薄気体効果]
自由分子気体中の巨視量場の振る舞いに関する研究[希薄気体効果]
運動論に基づく理想気体の熱対流とブシネスク近似に関する研究
浮力による自然熱対流は典型的な流体不安定性の問題であり,様々な方法で研究されています.流体力学ではしばしば浮力の取り扱いの際を除いて流体が非圧縮的であるというブシネスク近似が用いられます.本研究では,流体が理想気体である場合のこの近似の妥当性を運動論に基づいて考察しました.その結果,エネルギーの保存方程式において,通常のブシネスク近似には含まれない圧力がする仕事の項をとりいれるべきだということが分かりました.このことを例証する数値シミュレーションも行いました.

S. Takata, M. Hattori, and S. Yasuda, “Thermal convection and the Boussinesq approximation for ideal gases in the light of kinetic theory,” Phys. Rev. Fluids 10, 073401 (2025).
正方形ダクト内の希薄気体の外力駆動流れの研究
正方形ダクト内の気体がダクト軸方向の外力で駆動される状況を考えます.流れが層流の場合,流体力学によれば,流れの方向は軸方向(この画面に垂直な方向)であり,断面内に流れは生じません.本研究ではこの事柄について運動論に基づく考察を行いました.その結果,比較的高速で粘性による発熱が無視できないような状況では,温度場に起因する非Navier-Stokes的な応力の寄与により断面内に流れが生じ,温度場および軸方向の主流にも有限の影響が生じることが分かりました.

M. Hattori and S. Takata, “Force-driven flow of a slightly rarefied gas in a square duct,” Phys. Rev. Fluids 10, 073402 (2025).
フタの運動で生じるキャビティ内の気体流の研究
矩形の空洞(キャビティ)内部にそれを覆うフタの運動によって誘起される流れは流体力学の基本的な問題の一つです.通常の巨視的流体力学では,粘着の境界条件の要請により,フタの上では気体の流速はフタのスピードと一致し,側壁上では気体は静止するものと考えます.すると,動くフタと静止物体壁が接触するカド近くではいくらでも短い距離の間に有意な速度変化が生じることになり,そのような運動に伴う応力はカドに近づくにつれカドからの距離に反比例して発散することがよく知られています.この困難はカド近傍の気体の取り扱い方に根ざしていて,運動論ではこのような状況をより精確に扱えます.運動論に基づいてカド近くの気体の振る舞いを考えると,フタ・側壁の間のカドに近づく際のせん断応力およびフタとキャビティ壁にはたらく合力は有限であること等が分かります.

M. Hattori, “Numerical analysis of a gas flow in a square cavity driven by spanwise lid motion on the basis of kinetic theory: Behavior of the gas near a sharp corner,” Phys. Fluids 36, 052006 (2024).
Van der Waals流体の相変化現象の運動論的モデリングI
気液の相変化現象(例:水の沸騰)は蒸発や凝縮といった非平衡なプロセスを伴います.このため,相変化現象を流体力学的に議論する際には,流体の非平衡な状態を無理なく考慮できる枠組みが有効です.そこで,本研究では運動論を用いた相変化現象のモデリングを行いました.これまでは個々の興味ある相変化現象へ適用のしやすい簡便な構造をもち,かつ2相を扱う際に重要な自由エネルギーやエントロピーに関する性質を有する運動論の支配方程式は知られていませんでしたが,本研究ではその両方を備えた方程式を考案することに成功しました.

図:運動論モデルの数値シミュレーションにより得られた密度場
ある密度・温度をもった一様な状態の流体を考えます.物理量の空間分布が厳密に一様というのは一種の理想化であって,自然界ではなんらかの攪乱がたえず加わります.それを模擬するものとして,ここではある時刻にその流体の密度が元の10パーセント程度の大きさで乱された状況を考えます.すると,密度・温度の値に応じて,時間とともに流体が自発的に高い密度と低い密度の2相に分かれたり(左図),持ちこたえてもとの一様な状態に戻ったり(右図)します.
S. Takata, T. Matsumoto, A. Hirahara, and M. Hattori, “Kinetic theory for a simple modeling of phase transition: Dynamics out of local equilibrium,” Phys. Rev. E 98, 052123 (2018).
Van der Waals流体の相変化現象の運動論的モデリングII:空間2次元シミュレーション
本研究では,上の先行研究に引き続き,あらたに空間2次元シミュレーションを行いました.初期の流体の密度・温度に応じて,液滴群,気泡群のケースを含む様々な相パターンが形成されます.

図:運動論モデルの数値シミュレーションにより得られた密度場
髙田滋, 薮奎佑, 初鳥匡成, 宮内拓夢,“運動論モデルに基づく相分離現象の空間2次元シミュレーション,” ながれ 42(2), pp. 75-78 (2023). (注目研究 in CFD36)
2/3未満のPrandtl数の場合のESモデル運動論方程式のエントロピー特性の研究
分子運動論の支配方程式は気体分子の速度分布関数に対するボルツマン方程式です.この方程式は常圧から非常に希薄な気体まで広い範囲の気体現象をよく記述できますが,分子同士の衝突の効果を表す項が少し複雑です.そこで,ボルツマン方程式に備わっている熱力学第2法則に相当するエントロピー特性(H定理)を満足しつつ衝突項を簡単化したモデル方程式が個々の問題の解析ではよく利用され活躍しています.一方でモデル方程式ではPrandtl数を実際的な値に設定しづらく,最も標準的なモデル方程式ではその値は1です.この点が改良されたESモデル方程式は2/3以上の範囲でPrandtl数を選べて,運動量と熱の輸送が共存する状況の解析に向いています.さて,このPrandtl数の下限2/3はH定理が無条件に成立するためのもので,気体の非平衡の度合いを一定の範囲にかぎって考えるならば,Prandtl数がこの下限を下回る場合でもH定理が成り立つ余地があるのではと考えました. 本研究ではこの可能性を調べて, 2/3未満のPrandtl数に対してH定理が成り立つための条件を導出し,それを例証する様々な検証を数値的に行いました.

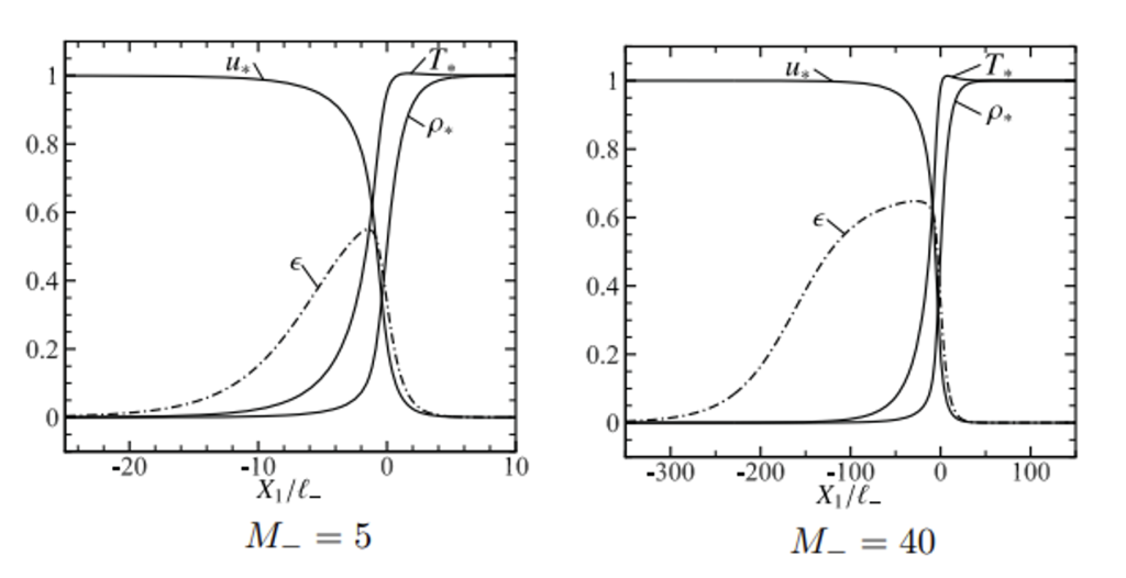
図:ESモデルの数値計算により得られた極超音速の垂直衝撃波の内部構造
衝撃波は気体の非平衡性が強く現れる現象の1つであり,本研究でも数値的検証に利用しました.
上流のMach数が5,40と極超音速の場合の垂直衝撃波内の流速,密度,温度をプロットしています.各図の左側が衝撃波の上流,右側が衝撃波の下流です.
S. Takata, M. Hattori, and T. Miyauchi, “On the entropic property of the Ellipsoidal Statistical model with the Prandtl number below 2/3,” Kinetic and Related Models 13, 1163-1174 (2020).
多孔質体内の気体輸送の運動論的モデリングの研究
多孔質体内の気体輸送は気体の膜分離,熱駆動型のポンプ,シェールガスの抽出など様々な分野で興味を持って調べられています.空隙の細孔径がある程度までなら気体輸送は通常の流体力学でよく記述できますが,およそマイクロスケール以下になると異なった特徴が現れます(Klinkenberg効果).これは,空孔の大きさのスケールで見ると気体分子同士の衝突が頻繁ではなく,気体の状態が非平衡になってくるためです.本研究では,このような状況を非平衡気体を精確に扱える分子気体力学に基づいて考察し,様々な空隙率の多孔質体に対して分子気体力学直接シミュレーションによる流量の計算結果を回復する均質化模型(多孔質体を固相が気体領域に一様に埋め込まれた媒質だとみなす模型)を考案しました.

図:多孔質体内の気体の流速場と質量流量
分子気体力学の支配方程式に基づく確率的粒子シミュレーションによって得られたいくつかの代表的な空隙率の多孔質体内の流れ場を示しています.左側が高圧,右側が低圧で,圧力差で気体が流れています.白は空隙で気体の通り道,黒は固相,グレーは空隙だが行き止まりのセルに相当します.流速を縦( \( X_2 \))方向にわたって積算すると質量流量が得られます.図のようにシミュレーションによる質量流量が本研究で考案した均質化模型でよく再現できることが確かめられました.
S. Takata, K. Hatakenaka, M. Hattori, and F. Kasahara, “Modeling of gas transport in porous media: stochastic simulation of the Knudsen gas and a kinetic model with homogeneous scatterer,” Phys. Fluids 32, 102004 (2020).
希薄気体中の巨視量場の振る舞いに関する研究
本研究では,物体のまわりを占める希薄気体の流速や温度などの巨視量の振る舞い,特に物体境界近くでのそれらの法線方向の勾配に注目しています.通常の気体ではこれらの勾配はいつでも有限です(もし無限大ならば粘性応力や熱流が無限大になってしまうからです).一方,希薄気体では運動量やエネルギーの輸送が気体分子間の衝突だけでなく,分子の並進で弾道的になされることにより,巨視量の法線方向の勾配は(気体の希薄さにかかわらず)発散することが分かりました.巨視量勾配の発散の強さは物体境界面の形状に依存します.境界面が平らまたは凹形の場合には,境界面からの法線距離を\( s \)としたとき,対数型(\( \ln s\))の発散が現れます.それ以外の境界面では,その形状を局所的に表す多項式の支配項の次数を \( n(\ge 2)\) とすると,\( s^{-1/n} \)とより強い発散が現れます.
\[ \begin{align}
&Q_x = Q_v + Q_c,\\
&Q_x(s) – Q_x(0) \sim c_s \sqrt{s} \quad (s \ll 1),\\
&Q_c(s) – Q_c(0) \sim -c_l s\ln{(s)} \quad (s \ll 1).
\end{align} \]

図:物体面の鞍点近傍における自由分子気体の熱流とその特異性
馬の鞍のような形状(\( x \)方向から見ると凹,\( y \)方向から見ると凸,式で書くと \( z=-x^2+c^2y^2 \) )の物体面が\( x \)方向に増加する温度分布を持っており,そのまわりを気体が占めています.\( x \)方向に熱流(\( Q_x \))が生じますが,気体分子運動論によれば,この熱流を境界面のうち凸部分からの寄与(\( Q_v \))と凹部分からの寄与(\( Q_c \))に分けて理解することができます.熱流の法線方向の勾配に着目すると,前者は距離の1/2乗,後者は距離の対数に比例します.
S. Takata and S. Taguchi, “Gradient divergence of fluid-dynamic quantities in rarefied gases on smooth boundaries,” J. Stat. Phys. 168, 1319-1352 (2017).
自由分子気体中の巨視量場の振る舞いに関する研究
常圧の気体では気体分子同士は頻繁に衝突(平均的には分子毎に毎秒1億回程度)していますが,気体が低圧になるにつれ分子同士の衝突が少なくなり,気体の状態は非平衡になります.本研究では,特に分子同士の衝突が無視できるような状況の気体(自由分子気体,目安としては0.01Pa程度以下の高真空の気体)を考え,巨視量場の空間分布を気体分子運動論に立脚して調べました.

図:加熱球まわりの自由分子気体の温度場と熱流
熱流は高温部から低温部に向かって生じており,これは常圧の気体と同様です.しかし,図中の熱流はFourier則にしたがっているわけではありません.自由分子気体の輸送特性はballisticなもので,温度場は通常の静止気体に対する熱伝導方程式にはしたがっていません.たとえば,気体の温度は球表面上で球面の温度とずれています.このことは「温度のとび」といい,希薄な気体中で起こる代表的な現象の一つです.
S. Takata, T. Yoshida, T. Noguchi, and S. Taguchi, “Singular behavior of the macroscopic quantities in the free molecular gas,” Phys. Fluids 28, 022002 (2016).
